info@gpls.com.af
+93 730505060
GPLS
Home
About us
GPILSO
GPLS
Client & Recommendations
MSTC
Gallary
Certificates
Contact
UNOPS
Dutch Forces ISAF
TFU-8 ISAF
TETRA TECH
SODEXO
NAMSA ISAF
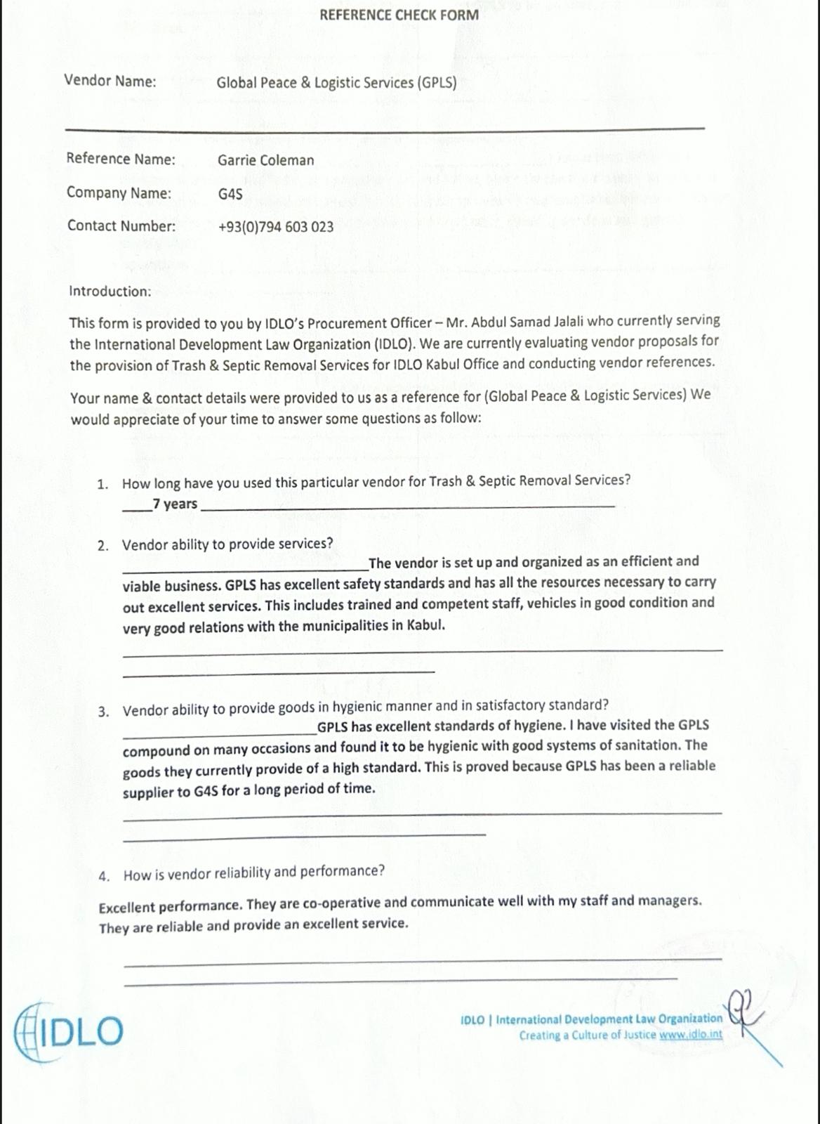
IDLO
G4S
ECC International
CZECH TASK FORCE ISAF